Volume 39 Issue 2
Jun.  2025
Turn off MathJax
Article Contents
LI Zhenzhen, LI Yanmei. Effect of far-infrared basketball arm guard on muscle fatigue under different pressures[J]. Journal of Shanghai University of Engineering Science, 2025, 39(2): 251-256. doi: 10.12299/jsues.24-0073
Citation: LI Zhenzhen, LI Yanmei. Effect of far-infrared basketball arm guard on muscle fatigue under different pressures[J]. Journal of Shanghai University of Engineering Science, 2025, 39(2): 251-256. doi: 10.12299/jsues.24-0073

Effect of far-infrared basketball arm guard on muscle fatigue under different pressures

doi: 10.12299/jsues.24-0073
  • Received Date: 2024-03-18
    Available Online: 2025-09-30
  • Publish Date: 2025-06-30
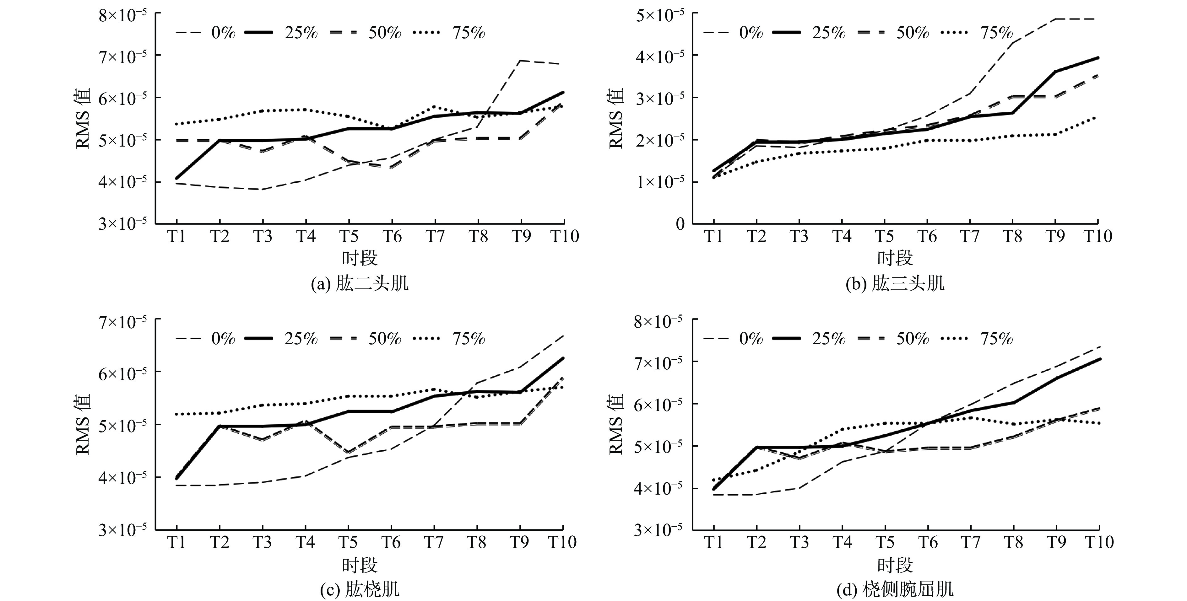
  • Existing researches on sports arm sleeves predominantly focus on the singular effect of compression in alleviating muscle fatigue, with limited integration of far-infrared radiation (FIR) technology investigated. In this study, sports arm sleeves were knitted using graphene-nylon composite fiber and nylon yarn, with far-infrared fiber contents (mass fraction, the same hereafter) of 0%, 25%, 50%, and 75%. Their effects on reducing muscle fatigue in the arm were evaluated under three pressure levels. Muscle fatigue was assessed using the root mean square (RMS) and median frequency (MF) of electromyographic signals, as well as subjective fatigue scores. The results indicate that FIR-integrated sleeves effectively reduce muscle fatigue after exercise, with the effect increasing as FIR fiber content rises, peaking at 75% content. At the same FIR contents, medium- and high-compression sleeves are more effective in alleviating muscle fatigue, particularly in the brachioradialis and flexor carpi radialis muscles. This may be attributed to the sequence of muscle activation and involvement degree during exercise.
  • loading
  • [1]
    张璐, 刘茜, 吴湘济. 理疗保健功能纺织品的研究与开发现状[J] . 产业用纺织品, 2020, 38(8): 1 − 6. doi: 10.3969/j.issn.1004-7093.2020.08.001
    [2]
    胡兴文, 宋现芬, 许日鹏, 等. 石墨烯改性纤维医用压力袜的制备及性能研究[J] . 针织工业, 2018(5): 5 − 7. doi: 10.3969/j.issn.1000-4033.2018.05.002
    [3]
    LOTURCO I, ABAD C C C, NAKAMURA F Y, et al. Effects of far infrared rays emitting clothing on recovery after an intense plyometric exercise bout applied to elite soccer players: a randomized double-blind placebo-controlled trial[J] . Biology of Sport, 2016, 33(3): 277 − 283. doi: 10.5604/20831862.1208479
    [4]
    李萱, 阎玉秀, 金子敏, 等. 远红外面料骑行裤对运动疲劳的影响[J] . 丝绸, 2020, 57(3): 51 − 56. doi: 10.3969/j.issn.1001-7003.2020.03.009
    [5]
    陈琛, 韩燚, 孙海燕, 等. 石墨烯复合纤维的制备方法与应用分析[J] . 新型工业化, 2021, 11(4): 14 − 17.
    [6]
    成强. 纺织品不同测试面对远红外性能结果的影响[J] . 山东纺织科技, 2022, 63(1): 27 − 29. doi: 10.3969/j.issn.1009-3028.2022.01.009
    [7]
    王广立, 方丽英. 基于表面肌电技术的篮球护臂压力舒适性分析[J] . 服装学报, 2022, 7(3): 227 − 234. doi: 10.3969/j.issn.1671-7147.2022.03.007
    [8]
    漆东岳, 王向钦, 袁彬兰, 等. 纺织品远红外性能测试方法研究[J] . 中国纤检, 2016(6): 90 − 93. doi: 10.3969/j.issn.1671-4466.2016.06.026
    [9]
    LUNG C W, LIAU B Y, PETERS J A, et al. Effects of various walking intensities on leg muscle fatigue and plantar pressure distributions[J] . BMC Musculoskeletal Disorders, 2021, 22(1): 831. doi: 10.1186/s12891-021-04705-8
    [10]
    王建萍, 苗明珠, 姚晓凤, 等. 滑雪压缩裤局部压力对男子下肢疲劳的影响[J] . 针织工业, 2023(2): 50 − 53. doi: 10.3969/j.issn.1000-4033.2023.02.012
  • 加载中

Catalog

    通讯作者: 陈斌, bchen63@163.com
    • 1. 

      沈阳化工大学材料科学与工程学院 沈阳 110142

    1. 本站搜索
    2. 百度学术搜索
    3. 万方数据库搜索
    4. CNKI搜索

    Figures(6)  / Tables(6)

    Article Metrics

    Article views (317) PDF downloads(13) Cited by()
    Proportional views
    Related

    /

    DownLoad:  Full-Size Img  PowerPoint
    Return
    Return