Volume 39 Issue 2
Jun.  2025
Turn off MathJax
Article Contents
MU Rui, LAI Leijie. Design and control of a complementary dual voice coil motor push-pull two-dimensional translational motion parallel precision motion platform[J]. Journal of Shanghai University of Engineering Science, 2025, 39(2): 187-193. doi: 10.12299/jsues.24-0081
Citation: MU Rui, LAI Leijie. Design and control of a complementary dual voice coil motor push-pull two-dimensional translational motion parallel precision motion platform[J]. Journal of Shanghai University of Engineering Science, 2025, 39(2): 187-193. doi: 10.12299/jsues.24-0081

Design and control of a complementary dual voice coil motor push-pull two-dimensional translational motion parallel precision motion platform

doi: 10.12299/jsues.24-0081
  • Received Date: 2024-03-21
    Available Online: 2025-09-30
  • Publish Date: 2025-06-30
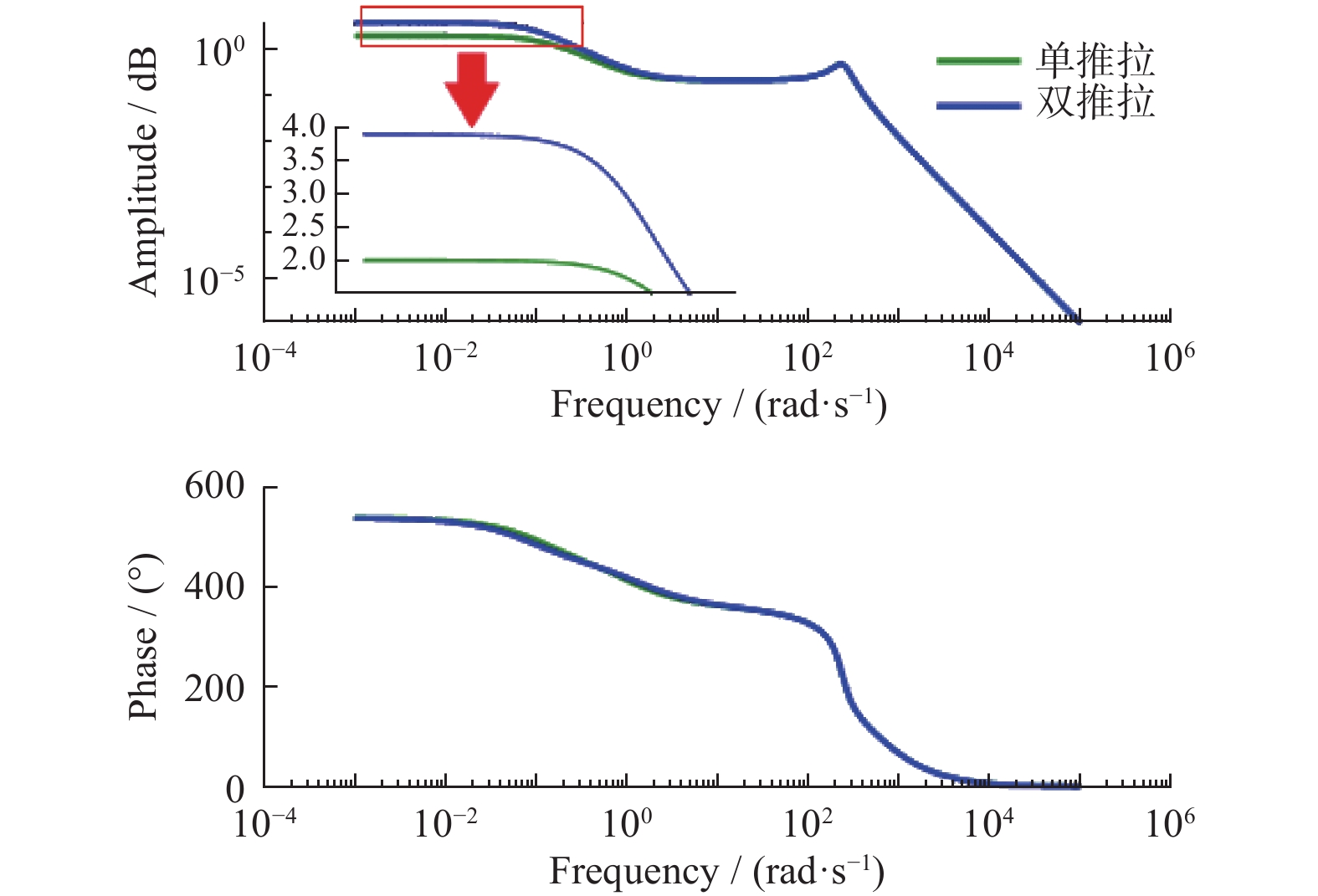
  • A voice coil motor-driven two-degree-of-freedom translational large-stroke decoupled micro-motion stage was proposed, which adopts a parallel dual-push-pull structure coupling straight flexible reed beams with a compound double parallelogram mechanism. Based on the push-pull driving principle of the voice coil motor and the configuration design of the dual-degree-of-freedom flexible mechanism, the static and dynamic characteristics of the platform were modeled using the force and deformation characteristics of the spring beam and the Lagrange equation, and an analytical model for calculating the static stiffness and natural frequency of the platform was obtained. Finite element analysis was conducted to validate the rationality and accuracy of the proposed models, and a control experimental system for the platform was constructed to compare trajectory tracking performance between single-push-pull and dual-push-pull modes. The experimental results show that the dual-push-pull mode has better tracking performance, higher precision, and better stability compared to the single-push-pull mode. The proposed complementary voice coil motor-driven large stroke flexible parallel precision motion platform features large stroke, high precision, and high stability characteristics, making it particularly suitable for large-stroke high-speed precision motion scenarios.
  • loading
  • [1]
    ITO S, CIGARINI F, UNGER S, et al. Flexure design for precision positioning using low-stiffness actuators[J] . IFAC-PapersOnLine, 2016, 49(21): 200 − 205. doi: 10.1016/j.ifacol.2016.10.548
    [2]
    ITO S, TROPPMAIR S, LINDNER B, et al. Long-range fast nanopositioner using nonlinearities of hybrid reluctance actuator for energy efficiency[J] . IEEE Transactions on Industrial Electronics, 2019, 66(4): 3051 − 3059. doi: 10.1109/TIE.2018.2842735
    [3]
    LI Y M, XU Q S. A totally decoupled piezo-driven XYZ flexure parallel micropositioning stage for micro/nanomanipulation[J] . IEEE Transactions on Automation Science and Engineering, 2011, 8(2): 265 − 279. doi: 10.1109/TASE.2010.2077675
    [4]
    PINSKIER J, SHIRINZADEH B, CLARK L, et al. Development of a 4-DOF haptic micromanipulator utilizing a hybrid parallel-serial flexure mechanism[J] . Mechatronics, 2018, 50: 55 − 68. doi: 10.1016/j.mechatronics.2018.01.007
    [5]
    WANG T W, LI Y Z, ZHANG Y X, et al. Design of a flexure-based parallel XY micropositioning stage with millimeter workspace and high bandwidth[J] . Sensors and Actuators A: Physical, 2021, 331(7): 112899.
    [6]
    LYU Z, XU Q S. Design and testing of a large-workspace XY compliant manipulator based on triple-stage parallelogram flexure[J] . Mechanism and Machine Theory, 2023, 184: 105287. doi: 10.1016/j.mechmachtheory.2023.105287
    [7]
    CAI K H, TIAN Y L, LIU X P, et al. Development and control methodologies for 2-DOF micro/nano positioning stage with high out-of-plane payload capacity[J] . Robotics and Computer-Integrated Manufacturing, 2019, 56: 95 − 105. doi: 10.1016/j.rcim.2018.08.007
    [8]
    OKYAY A, ERKORKMAZ K, KHAMESEE M B. Mechatronic design, actuator optimization, and control of a long stroke linear nano-positioner[J] . Precision Engineering, 2018, 52: 308 − 322. doi: 10.1016/j.precisioneng.2018.01.007
    [9]
    LIU H, LAI L J, FANG Y, et al. Push–pull large stroke flexure-based micropositioning stage driven by electromagnetic actuators with complementary double configuration[J] . Review of Scientific Instruments, 2023, 94(3): 035012. doi: 10.1063/5.0133906
    [10]
    XI S Z, LAI L J. Paired double parallelogram flexure mechanism clamped by corrugated beam for underconstraint elimination[J] . Review of Scientific Instruments, 2020, 91(8): 086102. doi: 10.1063/5.0003176
    [11]
    陈云壮, 赖磊捷, 李朋志, 等. 全簧片式空间大行程并联柔性微定位平台及其轨迹控制[J] . 光学精密工程, 2023, 31(18): 2675 − 2686.
  • 加载中

Catalog

    通讯作者: 陈斌, bchen63@163.com
    • 1. 

      沈阳化工大学材料科学与工程学院 沈阳 110142

    1. 本站搜索
    2. 百度学术搜索
    3. 万方数据库搜索
    4. CNKI搜索

    Figures(11)  / Tables(1)

    Article Metrics

    Article views (371) PDF downloads(34) Cited by()
    Proportional views
    Related

    /

    DownLoad:  Full-Size Img  PowerPoint
    Return
    Return