Volume 39 Issue 2
Jun.  2025
Turn off MathJax
Article Contents
YU Kaiying, XU Bin. Double-layer path planning based on evolutionary ant colony algorithm and conflict prediction resolution[J]. Journal of Shanghai University of Engineering Science, 2025, 39(2): 236-242. doi: 10.12299/jsues.24-0087
Citation: YU Kaiying, XU Bin. Double-layer path planning based on evolutionary ant colony algorithm and conflict prediction resolution[J]. Journal of Shanghai University of Engineering Science, 2025, 39(2): 236-242. doi: 10.12299/jsues.24-0087

Double-layer path planning based on evolutionary ant colony algorithm and conflict prediction resolution

doi: 10.12299/jsues.24-0087
  • Received Date: 2024-03-25
    Available Online: 2025-09-30
  • Publish Date: 2025-06-30
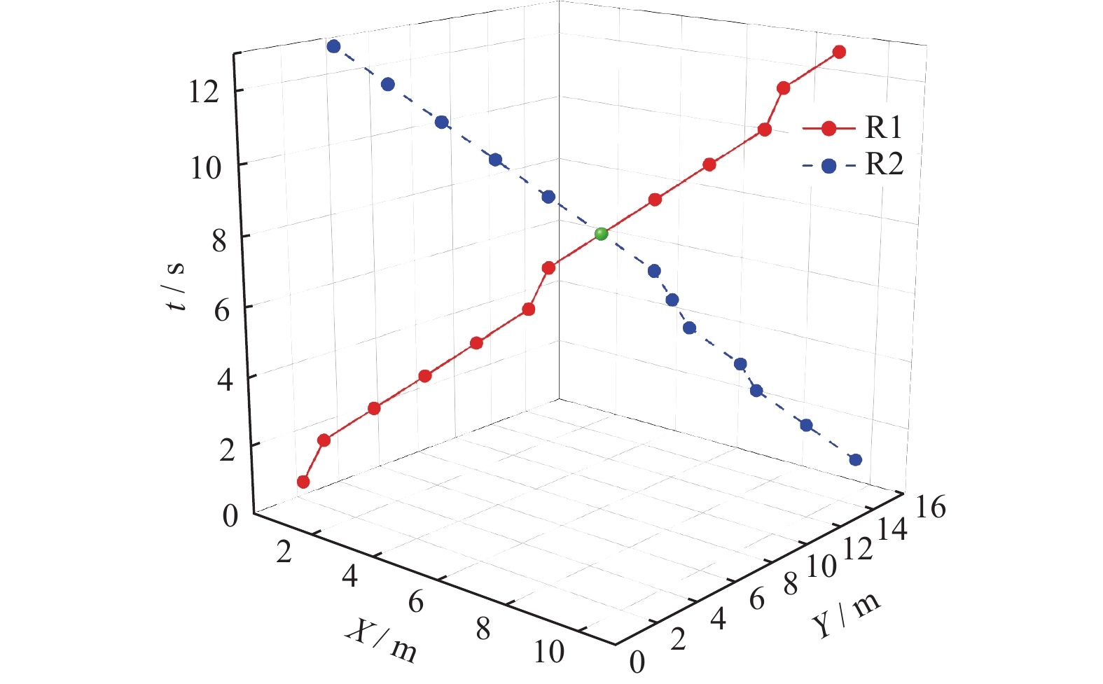
  • Aiming at the problems of low search efficiency and difficulty in resolving path conflicts when the ant colony algorithm was used to the cooperative path planning problem of multiple mobile robots, a dual-layer cooperative path planning method was proposed. In the static layer, the crossover mechanism of genetic algorithm was integrated into ant colony algorithm, and the evolutionary path crossover strategy was established to improve the quality of planning path.Concurrently, the calculation method of pheromone increment differentiation was adopted to accelerate the convergence speed of ant colony algorithm. In the dynamic layer, collision prediction was conducted based on a three-dimensional space-time map, and a priority conflict-free strategy was employed to effectively resolve path conflict. Simulation results show that the proposed dual-layer dynamic cooperative path planning method can improve the comprehensive performance of the algorithm and solve the cooperative path planning problem, which verifying the feasibility and effectiveness of the proposed algorithm.
  • loading
  • [1]
    臧冀原, 刘宇飞, 王柏村, 等. 面向2035的智能制造技术预见和路线图研究[J] . 机械工程学报, 2022, 58(4): 285 − 308.
    [2]
    刘志飞, 曹雷, 赖俊, 等. 多智能体路径规划综述[J] . 计算机工程与应用, 2022, 58(20): 43 − 62. doi: 10.3778/j.issn.1002-8331.2203-0467
    [3]
    张迎雪, 陈萌, 陈金宝, 等. 多机器人智能化协同技术研究进展[J] . 载人航天, 2021, 27(6): 767 − 778. doi: 10.3969/j.issn.1674-5825.2021.06.014
    [4]
    马滕, 茅健. 改进多步长蚁群算法移动机器人路径规划研究[J] . 上海工程技术大学学报, 2023, 37(3): 255 − 262. doi: 10.12299/jsues.22-0174
    [5]
    MIAO C W, CHEN G Z, YAN C L, et al. Path planning optimization of indoor mobile robot based on adaptive ant colony algorithm[J] . Computers & Industrial Engineering, 2021, 156: 107230.
    [6]
    徐劲力, 柳佳, 司马立萱. 多因素A*蚁群算法的机器人路径规划[J] . 组合机床与自动化加工技术, 2022(8): 21 − 25.
    [7]
    李健, 孙晓海, 廖昌义, 等. 基于双起点蚁群算法的机器人路径规划新方法[J/OL] . 吉林大学学报(工学版), 1 − 7[2024-04-15] . https://doi.org/10.13229/j.cnki.jdxbgxb.20230339.
    [8]
    汪繁荣, 杜力, 徐光辉. 基于改进蚁群算法的分布式多机器人协同路径规划[J] . 中南民族大学学报(自然科学版), 2023, 42(5): 650 − 657.
    [9]
    李志敏. 基于三维时空状态图−并行排序蚁群算法的多机器人路径协同规划[J] . 现代制造工程, 2021(12): 41 − 47.
    [10]
    LI P, YANG L W. Conflict-free and energy-efficient path planning for multi-robots based on priority free ant colony optimization[J] . Mathematical Biosciences and Engineering, 2023, 20(2): 3528 − 3565.
    [11]
    张恒, 何丽, 袁亮, 等. 基于改进双层蚁群算法的移动机器人路径规划[J] . 控制与决策, 2022, 37(2): 303 − 313.
    [12]
    刘加奇, 王泰华, 董征. 基于改进蚁群算法的移动机器人路径规划[J] . 传感器与微系统, 2022, 41(5): 140 − 143.
  • 加载中

Catalog

    通讯作者: 陈斌, bchen63@163.com
    • 1. 

      沈阳化工大学材料科学与工程学院 沈阳 110142

    1. 本站搜索
    2. 百度学术搜索
    3. 万方数据库搜索
    4. CNKI搜索

    Figures(7)  / Tables(3)

    Article Metrics

    Article views (274) PDF downloads(20) Cited by()
    Proportional views
    Related

    /

    DownLoad:  Full-Size Img  PowerPoint
    Return
    Return