Volume 39 Issue 4
Dec.  2025
Turn off MathJax
Article Contents
ZHANG Nianchen, WANG Chen, HAN Mengyu, SUN Honghua, WANG Jinguo. Performance study of catalytic soot combustion using M0.3Co2.7O4 solid solution nanocrystals[J]. Journal of Shanghai University of Engineering Science, 2025, 39(4): 420-427. doi: 10.12299/jsues.24-0128
Citation: ZHANG Nianchen, WANG Chen, HAN Mengyu, SUN Honghua, WANG Jinguo. Performance study of catalytic soot combustion using M0.3Co2.7O4 solid solution nanocrystals[J]. Journal of Shanghai University of Engineering Science, 2025, 39(4): 420-427. doi: 10.12299/jsues.24-0128

Performance study of catalytic soot combustion using M0.3Co2.7O4 solid solution nanocrystals

doi: 10.12299/jsues.24-0128
  • Received Date: 2024-05-02
    Available Online: 2026-02-02
  • Publish Date: 2025-12-01
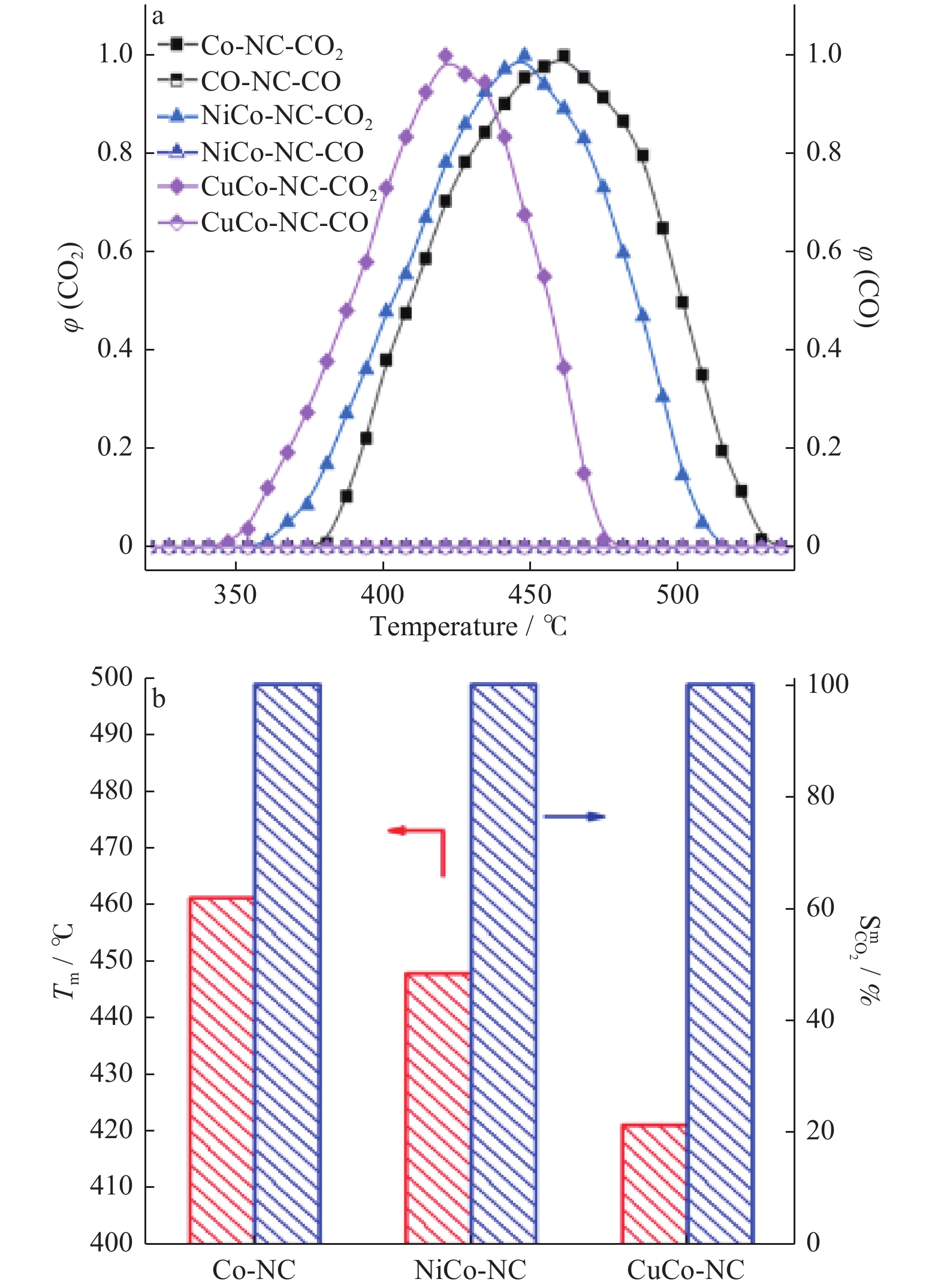
  • Transition-metal ion M (M = Cu、Ni) doped M0.3Co2.7O4 solid solution nanocrystals were prepared by a one-pot hydrothermal route. The effect of M doping on the catalytic performance of Co3O4 nanocrystals for soot combustion was systematically investigated. Results indicate that Cu0.3Co2.7O4 nanocrystals exhibit the optimal catalytic performance with a Tm of 421 ℃ and 100% CO2 selectivity. It was mainly attributed to the following aspects: 1) Cu ion doping inhibited the crystal growth of Co3O4 and increased the specific surface area, thereby expanding the contact between the catalyst and soot particles; 2) Cu ion doping increased the molar ratio of surface Co3+ and created more defect sites, facilitating the adsorption and activation of oxygen species; 3) Cu ion doping enhanced the redox ability of the catalyst, which not only promoted the generation of active oxygen species but also enhanced the oxidation of NO to NO2, thereby improving the soot combustion efficiency. Meanwhile, Cu0.3Co2.7O4 solid solution nanocrystals showed good stability, providing a theoretical basis for designing high-efficiency diesel soot purification catalysts.
  • loading
  • [1]
    贺泓, 翁端, 资新运. 柴油车尾气排放污染控制技术综述[J] . 环境科学, 2007, 28(6): 1169 − 1177.
    [2]
    李炳章, 张文军, 张园园, 等. 柴油车尾气净化技术研究进展[J] . 山东化工, 2019, 48(9): 105 − 106.
    [3]
    王领辉, 李孟良, 徐达. 柴油机排放控制技术分析[J] . 城市车辆, 2008(4): 44 − 45.
    [4]
    陈卫红, 曹丽敏, 刘跃伟, 等. 空气细颗粒物与呼吸系统的健康损害[J] . 公共卫生与预防医学, 2016, 27(3): 1 − 4.
    [5]
    WANG J G, YANG G Y, CHENG L, et al. Three-dimensionally ordered macroporous spinel-type MCr2O4 (M = Co, Ni, Zn, Mn) catalysts with highly enhanced catalytic performance for soot combustion[J] . Catalysis Science & Technology, 2015, 5(9): 4594 − 4601.
    [6]
    WANG J G, CHENG L, AN W, et al. Boosting soot combustion efficiencies over CuO-CeO2 catalysts with a 3DOM structure[J] . Catalysis Science & Technology, 2016, 6(19): 7342 − 7350.
    [7]
    ZHAI G J, WANG J G, CHEN Z M, et al. Boosting soot combustion efficiency of Co3O4 nanocrystals via tailoring crystal facets[J] . Chemical Engineering Journal, 2018, 337: 488 − 498. doi: 10.1016/j.cej.2017.12.141
    [8]
    ZHAI G J, WANG J G, CHEN Z M, et al. Highly enhanced soot oxidation activity over 3DOM Co3O4-CeO2 catalysts by synergistic promoting effect[J] . Journal of Hazardous Materials, 2019, 363: 214 − 226. doi: 10.1016/j.jhazmat.2018.08.065
    [9]
    WANG J G, YANG S F, SUN H H, et al. Highly improved soot combustion performance over synergetic MnxCe1-xO2 solid solutions within mesoporous nanosheets[J] . Journal of Colloid and Interface Science, 2020, 577: 355 − 367. doi: 10.1016/j.jcis.2020.05.090
    [10]
    YANG S F, WANG J G, CHAI W, et al. Enhanced soot oxidation activity over CuO/CeO2 mesoporous nanosheets[J] . Catalysis Science & Technology, 2019, 9(7): 1699 − 1709.
    [11]
    REN W, DING T, YANG Y X, et al. Identifying oxygen activation/oxidation sites for efficient soot combustion over silver catalysts interacted with nanoflower-like hydrotalcite-derived CoAlO metal oxides[J] . ACS Catalysis, 2019, 9(9): 8772 − 8784. doi: 10.1021/acscatal.9b01897
    [12]
    ZHOU X X, CHEN H R, ZHANG G B, et al. Cu/Mn co-loaded hierarchically porous zeolite beta: a highly efficient synergetic catalyst for soot oxidation[J] . Journal of Materials Chemistry A, 2015, 3(18): 9745 − 9753. doi: 10.1039/C5TA00094G
    [13]
    XIONG J, WU Q Q, MEI X L, et al. Fabrication of spinel-type PdxCo3-xO4 binary active sites on 3D ordered meso-macroporous Ce-Zr-O2 with enhanced activity for catalytic soot oxidation[J] . ACS Catalysis, 2018, 8(9): 7915 − 7930. doi: 10.1021/acscatal.8b01924
    [14]
    CHENG Y, LIU J, ZHAO Z, et al. Highly efficient and simultaneously catalytic removal of PM and NOx from diesel engines with 3DOM Ce0.8M0.1Zr0.1O2 (M = Mn, Co, Ni) catalysts[J] . Chemical Engineering Science, 2017, 167: 219 − 228. doi: 10.1016/j.ces.2017.04.023
    [15]
    WU Q Q, XIONG J, ZHANG Y L, et al. Interaction-induced self-assembly of Au@La2O3 core-shell nanoparticles on La2O2CO3 nanorods with enhanced catalytic activity and stability for soot oxidation[J] . ACS Catalysis, 2019, 9(4): 3700 − 3715. doi: 10.1021/acscatal.9b00107
    [16]
    CHENG L, MEN Y, WANG J G, et al. Crystal facet-dependent reactivity of α-Mn2O3 microcrystalline catalyst for soot combustion[J] . Applied Catalysis B: Environmental, 2017, 204: 374 − 384. doi: 10.1016/j.apcatb.2016.11.041
    [17]
    ANEGGI E, WIATER D, DE LEITENBURG C, et al. Shape-dependent activity of ceria in soot combustion[J] . ACS Catalysis, 2014, 4(1): 172 − 181. doi: 10.1021/cs400850r
    [18]
    JI F, MEN Y, WANG J G, et al. Promoting diesel soot combustion efficiency by tailoring the shapes and crystal facets of nanoscale Mn3O4[J] . Applied Catalysis B: Environmental, 2019, 242: 227 − 237. doi: 10.1016/j.apcatb.2018.09.092
    [19]
    DAIRA R, KABIR A, BOUDJEMA B, et al. Structural and optical transmittance analysis of CuO thin films deposited by the spray pyrolysis method[J] . Solid State Sciences, 2020, 104: 106254. doi: 10.1016/j.solidstatesciences.2020.106254
    [20]
    NAKATE U T, AHMAD R, PATIL P, et al. Ultra thin NiO nanosheets for high performance hydrogen gas sensor device[J] . Applied Surface Science, 2020, 506: 144971. doi: 10.1016/j.apsusc.2019.144971
    [21]
    SUN B, WANG J G, CHEN M, et al. Boosting acetone oxidation performance over mesocrystal MxCe1-xO2 (M = Ni, Cu, Zn) solid solution within hollow spheres by tailoring transition-metal cations[J] . Materials Chemistry and Physics, 2023, 293: 126925. doi: 10.1016/j.matchemphys.2022.126925
    [22]
    FAN G L, ZHAO L, GONG C R, et al. Effect of supports on soot oxidation of copper catalysts: BaTiO3 versus Fe2O3@BaTiO3 core/shell microsphere[J] . Nano, 2016, 11(1): 1650010. doi: 10.1142/S1793292016500107
    [23]
    CAO C M, XING L L, YANG Y X, et al. Diesel soot elimination over potassium-promoted Co3O4 nanowires monolithic catalysts under gravitation contact mode[J] . Applied Catalysis B: Environmental, 2017, 218: 32 − 45. doi: 10.1016/j.apcatb.2017.06.035
  • 加载中

Catalog

    通讯作者: 陈斌, bchen63@163.com
    • 1. 

      沈阳化工大学材料科学与工程学院 沈阳 110142

    1. 本站搜索
    2. 百度学术搜索
    3. 万方数据库搜索
    4. CNKI搜索

    Figures(9)  / Tables(3)

    Article Metrics

    Article views (307) PDF downloads(106) Cited by()
    Proportional views
    Related

    /

    DownLoad:  Full-Size Img  PowerPoint
    Return
    Return