Volume 39 Issue 4
Dec.  2025
Turn off MathJax
Article Contents
XU Conghui, XIA Peng. Optimization of condenser fins and water harvesting experimental study on air-water harvesting device[J]. Journal of Shanghai University of Engineering Science, 2025, 39(4): 466-470. doi: 10.12299/jsues.24-0168
Citation: XU Conghui, XIA Peng. Optimization of condenser fins and water harvesting experimental study on air-water harvesting device[J]. Journal of Shanghai University of Engineering Science, 2025, 39(4): 466-470. doi: 10.12299/jsues.24-0168

Optimization of condenser fins and water harvesting experimental study on air-water harvesting device

doi: 10.12299/jsues.24-0168
  • Received Date: 2024-06-12
    Available Online: 2026-02-02
  • Publish Date: 2025-12-01
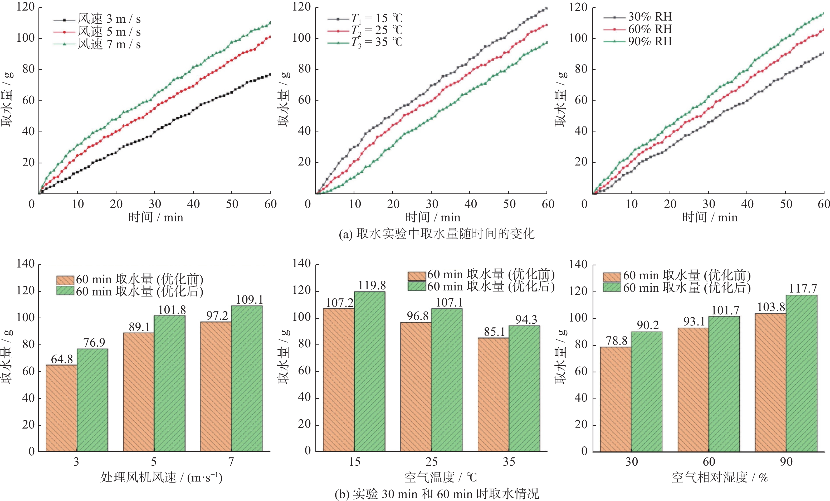
  • An experimental investigation was conducted to explore the factors influencing the water harvesting efficiency of an air-water harvesting device. The results indicate that fan speed, ambient air temperature, and relative humidity significantly affect the performance. During the experiments, it was observed that condensate on the surface of the fins failed to shed promptly. Instead, it adhered between fins and formed water bridges, which negatively affected the water harvesting efficiency. To address this, the condenser fins were optimized. Using COMSOL for modeling and simulation, the fin structure of the semiconductor refrigeration air-water harvesting device was optimized, and hydrophobic materials were coated on the fin surface to facilitate rapid condensate shedding, thereby increasing the device's water harvesting efficiency.
  • loading
  • [1]
    雷静, 黄站峰, 李亚平. 长江中下游供水安全及其对上游水库调度需求[J] . 人民长江, 2011, 42(3): 46 − 48.
    [2]
    VAN DER BRUGGEN B, VANDECASTEELE C. Distillation vs. membrane filtration: overview of process evolutions in seawater desalination[J] . Desalination, 2002, 143(3): 207 − 218. doi: 10.1016/S0011-9164(02)00259-X
    [3]
    SPLETZER B L, CALLOW D S, MARRON L C, et al. Method and apparatus for extracting water from air: WO2001US16663[P] . 2002−03−07.
    [4]
    张云凯. 沙漠地区太阳能半导体制冷空气取水装置的实验性研究[D] . 上海: 东华大学, 2014.
    [5]
    MUÑOZ-GARCÍA M A, MOREDA G P, RAGA-ARROYO M P, et al. Water harvesting for young trees using Peltier modules powered by photovoltaic solar energy[J] . Computers and Electronics in Agriculture, 2013, 93: 60 − 67. doi: 10.1016/j.compag.2013.01.014
    [6]
    LOBO P C, KLUPPEL R P, De ARAUJO S R. Performance of an annular cylindrical solar collector[C] //Proceedings of the International Conference on Heliotechnique and Development. Cambridge: Development Analysis Associates, 1976: 233−244.
    [7]
    MALIK M A S, SHIHAB-ELDIN A, PURI V M, et al. Solar energy research, development & demonstration program in Kuwait[J] . Sun: Mankind's Future Source of Energy, 1978, 1: 68 − 71.
    [8]
    SODHA M S, NAYAK J K, TIWARI G N, et al. Double basin solar still[J] . Energy Conversion and Management, 1980, 20(1): 23 − 32. doi: 10.1016/0196-8904(80)90025-4
    [9]
    JOSHI V P, JOSHI V S, KOTHARI H A, et al. Experimental investigations on a portable fresh water generator using a thermoelectric cooler[J] . Energy Procedia, 2017, 109: 161 − 166. doi: 10.1016/j.egypro.2017.03.085
    [10]
    MAGRINI A, CATTANI L, CARTESEGNA M, et al. Production of water from the air: the environmental sustainability of air-conditioning systems through a more intelligent use of resources. the advantages of an integrated system[J] . Energy Procedia, 2015, 78: 1153 − 1158. doi: 10.1016/j.egypro.2015.11.081
    [11]
    NADA S A, ELATTAR H F, FOUDA A. Experimental study for hybrid humidification–dehumidification water desalination and air conditioning system[J] . Desalination, 2015, 363: 112 − 125. doi: 10.1016/j.desal.2015.01.032
    [12]
    李兵. 太阳能半导体空气取水机工况的极值搜索与控制[D] . 杭州: 杭州电子科技大学, 2014.
    [13]
    GIDO B, FRIEDLER E, BRODAY D M. Assessment of atmospheric moisture harvesting by direct cooling[J] . Atmospheric Research, 2016, 182: 156 − 162. doi: 10.1016/j.atmosres.2016.07.029
    [14]
    刘伟, 明廷臻, 杨昆, 等. 太阳能烟囱电站中传热流动的数值模拟[C] //中国工程热物理学会2004年传热传质学学术会议论文集. 吉林: 中国工程热物理学会, 2004.
    [15]
    MING T Z, GONG T R, DE RICHTER R K, et al. A moist air condensing device for sustainable energy production and water generation[J] . Energy Conversion and Management, 2017, 138: 638 − 650. doi: 10.1016/j.enconman.2017.02.012
  • 加载中

Catalog

    通讯作者: 陈斌, bchen63@163.com
    • 1. 

      沈阳化工大学材料科学与工程学院 沈阳 110142

    1. 本站搜索
    2. 百度学术搜索
    3. 万方数据库搜索
    4. CNKI搜索

    Figures(5)  / Tables(1)

    Article Metrics

    Article views (327) PDF downloads(105) Cited by()
    Proportional views
    Related

    /

    DownLoad:  Full-Size Img  PowerPoint
    Return
    Return