留言板

尊敬的读者、作者、审稿人, 关于本刊的投稿、审稿、编辑和出版的任何问题, 您可以本页添加留言。我们将尽快给您答复。谢谢您的支持!

姓名
邮箱
手机号码
标题
留言内容
验证码

保妇康栓对热带假丝酵母菌感染的治疗作用

李媛 鲍思蔚 郑涛 邓轶方 刘莉

李媛, 鲍思蔚, 郑涛, 邓轶方, 刘莉. 保妇康栓对热带假丝酵母菌感染的治疗作用[J]. 上海工程技术大学学报, 2025, 39(1): 79-85. doi: 10.12299/jsues.23-0232
引用本文: 李媛, 鲍思蔚, 郑涛, 邓轶方, 刘莉. 保妇康栓对热带假丝酵母菌感染的治疗作用[J]. 上海工程技术大学学报, 2025, 39(1): 79-85. doi: 10.12299/jsues.23-0232
LI Yuan, BAO Siwei, ZHENG Tao, DENG Yifang, LIU Li. Therapeutic effect of Bafukang suppository on Candida tropicalis infection[J]. Journal of Shanghai University of Engineering Science, 2025, 39(1): 79-85. doi: 10.12299/jsues.23-0232
Citation: LI Yuan, BAO Siwei, ZHENG Tao, DENG Yifang, LIU Li. Therapeutic effect of Bafukang suppository on Candida tropicalis infection[J]. Journal of Shanghai University of Engineering Science, 2025, 39(1): 79-85. doi: 10.12299/jsues.23-0232

保妇康栓对热带假丝酵母菌感染的治疗作用

doi: 10.12299/jsues.23-0232
详细信息
    作者简介:

    李媛:李 媛(1997 − ),女,硕士生,研究方向为化学工程与技术和药理学。E-mail:liyuanhhh@163.com

    通讯作者:

    刘 莉(1967 − ),女,研究员,博士,研究方向为药理学。E-mail:liulisipi@foxmail.com

  • 中图分类号: R965

Therapeutic effect of Bafukang suppository on Candida tropicalis infection

  • 摘要: 为验证保妇康栓体内外抗热带假丝酵母菌的药效,从临床收集热带念珠菌16株,采用微量肉汤稀释法测定保妇康栓对热带假丝酵母菌的最低抑菌浓度(MIC),用结晶紫染色法测定对生物膜形成的影响,用扫描电镜(SEM)观察对菌体结构的影响。构建小鼠阴道热带假丝酵母菌体内感染模型,观察给予保妇康栓后阴道荷菌量的变化及阴道病理的改变。结果表明保妇康栓可抑制热带假丝酵母菌的增殖和生物膜的形成,破坏菌体细胞膜和细胞壁,并有效缓解小鼠阴道炎症,在体外对热带假丝酵母菌的生长具有显著抑制作用,在体内对热带假丝酵母菌感染致阴道炎有明显的改善作用。
  • 图  1  400倍倒置显微镜下保妇康栓对热带假丝酵母菌生物膜形成的影响

    Figure  1.  Inhibition of Baofukang suppository on biofilm formation of Candida tropicalis under 400 fold inverted microscope

    图  2  结晶紫重溶结果

    Figure  2.  Results of crystal violet resolution

    图  3  热带假丝酵母菌的SEM图像

    Figure  3.  SEM image of Candida tropicalis

    图  4  各组小鼠阴道荷菌量变化情况

    Figure  4.  Changes of vaginal fungus load of mice in each group

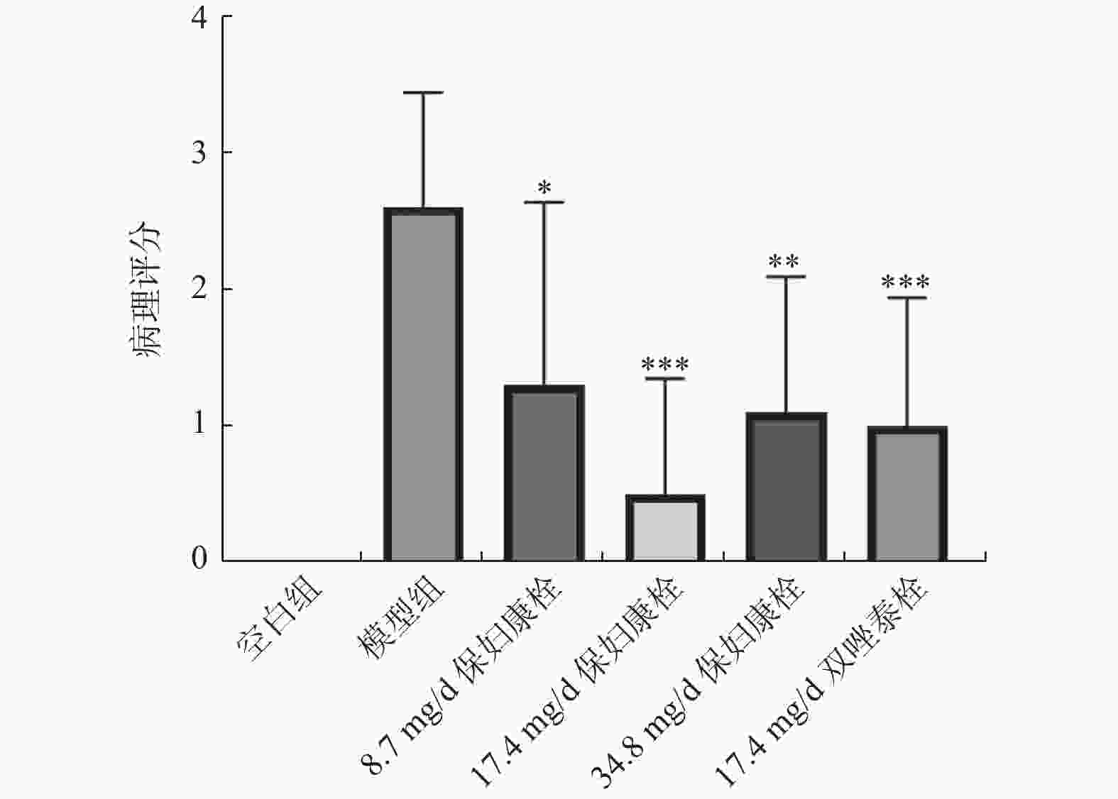
    图  5  各组小鼠阴道组织病理评分变化情况

    Figure  5.  Changes of pathological score of vaginal tissue of mice in each group

    图  6  各组小鼠阴道组织病理学观察(HE, × 200)

    Figure  6.  Observation of vaginal histopathology in each group of mice

    表  1  药敏实验结果

    Table  1.   Results of drug sensitivity test

    菌株编号 克霉唑MIC值/(μg·mL−1) 保妇康栓MIC值/(mg·mL−1)
    10705 0.50 0.64
    10808 8.00 0.16
    0121042 0.50 0.16
    17040 0.50 0.64
    09038 0.50 0.64
    07703 4.00 0.16
    10002 4.00 0.16
    05058 0.03 0.32
    19021 1.00 0.64
    07073 1.00 0.32
    18004 0.03 0.32
    08003 0.06 0.64
    0121056 0.25 0.32
    ATCC750 0.50 0.16
    0119043 4.00 0.16
    09020 0.25 1.28
    23601 0.25 2.56
    下载: 导出CSV
  • [1] BERTOLINI M, RANJAN A, THOMPSON A, et al. Candida albicans induces mucosal bacterial dysbiosis that promotes invasive infection[J] . PLoS Pathogens,2019,15(4):e1007717. doi: 10.1371/journal.ppat.1007717
    [2] LAMOTH F, LOCKHART S R, BERKOW E L, et al. Changes in the epidemiological landscape of invasive candidiasis[J] . Journal of Antimicrobial Chemotherapy,2018,73(S1):i4 − i13.
    [3] FAN X, XIAO M, ZHANG D, et al. Molecular mechanisms of azole resistance in Candida tropicalis isolates causing invasive candidiasis in China[J] . Clinical Microbiology and Infection,2019,25(7):885 − 891. doi: 10.1016/j.cmi.2018.11.007
    [4] PRISTOV K E, GHANNOUM M A. Resistance of Candida to azoles and echinocandins worldwide[J] . Clinical Microbiology and Infection,2019,25(7):792 − 798. doi: 10.1016/j.cmi.2019.03.028
    [5] LEE Y, PUUMALA E, ROBBINS N, et al. Antifungal drug resistance: Molecular mechanisms in Candida albicans and beyond[J] . Chemical Reviews,2021,121(6):3390 − 3411. doi: 10.1021/acs.chemrev.0c00199
    [6] JAFRI H, AHMAD I. Thymus vulgaris essential oil and thymol inhibit biofilms and interact synergistically with antifungal drugs against drug resistant strains of Candida albicans and Candida tropicalis[J] . Journal de Mycologie Médicale,2020,30(1):100911.
    [7] CHEN M W, WANG S P, TAN M, et al. Applications of nanoparticles in herbal medicine: Zedoary turmeric oil and its active compound β-elemene[J] . The American Journal of Chinese Medicine,2011,39(6):1093 − 1102. doi: 10.1142/S0192415X11009421
    [8] CHEN Z X, XU Q Q, SHAN C S, et al. Borneol for regulating the permeability of the blood-brain barrier in experimental ischemic stroke: preclinical evidence and possible mechanism[J] . Oxidative Medicine and Cellular Longevity,2019,2019:2936737.
    [9] MURPHY S E, BICANIC T. Drug resistance and novel therapeutic approaches in invasive candidiasis[J] . Frontiers in Cellular and Infection Microbiology,2021,11:759408. doi: 10.3389/fcimb.2021.759408
    [10] LI T, NIU X X, ZHANG X, et al. Baofukang suppository promotes the repair of vaginal epithelial cells in response to Candida albicans[J] . AMB Express,2016,6(1):109. doi: 10.1186/s13568-016-0281-1
    [11] YUE H Z, XU X L, HE S S, et al. Antifungal mechanisms of a Chinese herbal medicine, Cao Huang Gui Xiang, against Candida species[J] . Frontiers in Pharmacology,2022,13:813818. doi: 10.3389/fphar.2022.813818
    [12] LOHSE M B, GULATI M, JOHNSON A D, et al. Development and regulation of single- and multi-species Candida albicans biofilms[J] . Nature Reviews Microbiology,2018,16(1):19 − 31. doi: 10.1038/nrmicro.2017.107
    [13] RODRÍGUEZ-CERDEIRA C, GREGORIO M C, MOLARES-VILA A, et al. Biofilms and vulvovaginal candidiasis[J] . Colloids and Surfaces B: Biointerfaces,2019,174:110 − 125. doi: 10.1016/j.colsurfb.2018.11.011
    [14] SENTHILGANESH J, KUPPUSAMY S, DURAIRAJAN R, et al. Phytolectin nanoconjugates in combination with standard antifungals curb multi-species biofilms and virulence of vulvovaginal candidiasis (VVC) causing Candida albicans and non-albicans Candida[J] . Medical Mycology,2022,60(2):myab083. doi: 10.1093/mmy/myab083
    [15] 荆翠清. 双唑泰栓联合伊曲康唑治疗念珠菌性阴道炎106例分析[J] . 中外女性健康研究, 2018, 5(10): 91, 166.
  • 加载中
图(6) / 表(1)
计量
  • 文章访问数:  966
  • HTML全文浏览量:  434
  • PDF下载量:  32
  • 被引次数: 0
出版历程
  • 收稿日期:  2023-11-20
  • 刊出日期:  2025-05-19

目录

    /

    返回文章
    返回