留言板

尊敬的读者、作者、审稿人, 关于本刊的投稿、审稿、编辑和出版的任何问题, 您可以本页添加留言。我们将尽快给您答复。谢谢您的支持!

姓名
邮箱
手机号码
标题
留言内容
验证码

基于观测器的分数阶多智能体系统正一致性

蔡宇航 章伟 胡陟 张鹏宇

蔡宇航, 章伟, 胡陟, 张鹏宇. 基于观测器的分数阶多智能体系统正一致性[J]. 上海工程技术大学学报, 2025, 39(1): 21-27, 36. doi: 10.12299/jsues.24-0023
引用本文: 蔡宇航, 章伟, 胡陟, 张鹏宇. 基于观测器的分数阶多智能体系统正一致性[J]. 上海工程技术大学学报, 2025, 39(1): 21-27, 36. doi: 10.12299/jsues.24-0023
CAI Yuhang, ZHANG Wei, HU Zhi, ZHANG Pengyu. Observer-based positive consensus of fractional-order multiagent systems[J]. Journal of Shanghai University of Engineering Science, 2025, 39(1): 21-27, 36. doi: 10.12299/jsues.24-0023
Citation: CAI Yuhang, ZHANG Wei, HU Zhi, ZHANG Pengyu. Observer-based positive consensus of fractional-order multiagent systems[J]. Journal of Shanghai University of Engineering Science, 2025, 39(1): 21-27, 36. doi: 10.12299/jsues.24-0023

基于观测器的分数阶多智能体系统正一致性

doi: 10.12299/jsues.24-0023
基金项目: 国家自然科学基金(62003207)
详细信息
    作者简介:

    蔡宇航(2000 − ),男,硕士生,研究方向为多智能体协同控制。E-mail:393339424@qq.com

    通讯作者:

    章 伟(1977 − ),男,教授,博士,研究方向为集群智能、多自主体协同控制、非线性状态估计。E-mail:wizzhang@foxmail.com

  • 中图分类号: TP273

Observer-based positive consensus of fractional-order multiagent systems

  • 摘要: 分数阶系统相比整数阶系统能够描述一些非典型、非线性的动态行为,更适合刻画具有记忆性的复杂控制系统。研究有向图上分数阶多智能体系统的正一致性问题。首先利用Luenberger观测器进行系统状态观测,基于正系统理论得到分数阶多智能体系统正一致性的一个充要条件。然后对该条件进一步优化,获得改进的拉普拉斯矩阵特征值的界,并利用有向网络节点数量,得到一个保守性较低的Riccati不等式型充分条件。接着通过求解代数Riccati不等式,给出求解基于观测器的分数阶多智能体系统正一致性的半定规划算法。最后通过数值仿真验证了所提出算法的有效性。
  • 图  1  有向节点网络

    Figure  1.  Directed node network

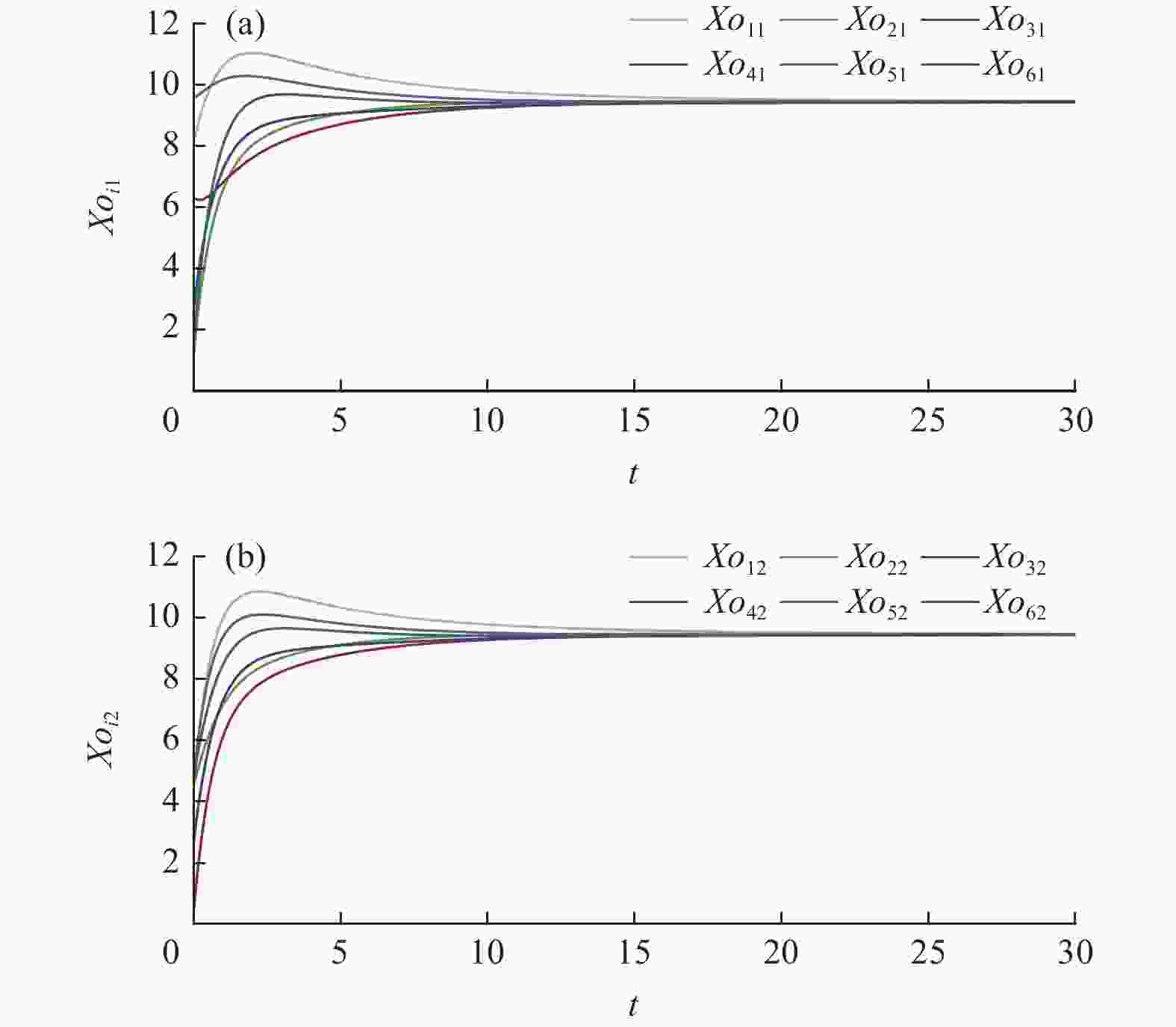
    图  2  多智能体的状态响应曲线

    Figure  2.  State variable response curves of multiple agent

    图  3  观测器的状态响应曲线

    Figure  3.  State variable response curves of observer

    图  4  观测器误差的响应曲线

    Figure  4.  Response curves of observer errors

    图  5  控制输入的响应曲线

    Figure  5.  Control input response curve

  • [1] QIAN Y C, ZHANG W, JI M M, et al. Observer-based positive edge consensus for directed nodal networks[J] . IET Control Theory & Applications,2020,14(2):352 − 357.
    [2] 王庆领, 王雪娆. 切换拓扑下非线性多智能体系统自适应神经网络一致性[J] . 控制理论与应用,2023,40(4):633 − 640. doi: 10.7641/CTA.2022.10847
    [3] 孙玉娇, 杨洪勇, 于美妍. 基于领航跟随的多机器人系统有限时间一致性控制研究[J] . 复杂系统与复杂性科学,2020,17(4):66 − 72.
    [4] YAN C H, ZHANG W, SU H S, et al. Adaptive bipartite time-varying output formation control for multiagent systems on signed directed graphs[J] . IEEE Transactions on Cybernetics,2022,52(9):8987 − 9000. doi: 10.1109/TCYB.2021.3054648
    [5] YAN C H, ZHANG W, LI X H, et al. Observer-based time-varying formation tracking for one-sided Lipschitz nonlinear systems via adaptive protocol[J] . International Journal of Control,2020,18(11):2753 − 2764.
    [6] YAN C H, ZHANG W, GUO H, et al. Distributed adaptive time-varying formation control for Lipschitz nonlinear multi-agent systems[J] . Transactions of the Institute of Measurement and Control,2022,44(2):272 − 285. doi: 10.1177/01423312211032036
    [7] WANG W K, ZHANG W, YAN C H, et al. Distributed adaptive bipartite time-varying formation control for heterogeneous unknown nonlinear multi-agent systems[J] . IEEE Access,2021,9:52698 − 52707. doi: 10.1109/ACCESS.2021.3068966
    [8] JIANG P W, ZHANG W, YAN C H, et al. Fully distributed event-triggered bipartite output formation control for heterogeneous MASs with directed graphs[J] . IEEE Transactions on Circuits and Systems-II: Express Briefs,2023,70(6):2072 − 2076. doi: 10.1109/TCSII.2022.3233370
    [9] BIDRAM A, LEWIS F L, DAVOUDI A. Distributed control systems for small-scale power networks: using multiagent cooperative control theory[J] . IEEE Control Systems Magazine,2014,34(6):56 − 77. doi: 10.1109/MCS.2014.2350571
    [10] KOELLER R. Toward an equation of state for solid materials with memory by use of the half-order derivative[J] . Acta Mechanica,2007,191(3/4):125 − 133. doi: 10.1007/s00707-006-0411-y
    [11] BAGLEY R L, TORVIK P J. On the fractional calculus model of viscoelastic behavior[J] . Journal of Rheology,1986,30:133 − 155. doi: 10.1122/1.549887
    [12] YE Y, SU H S. Consensus of delayed fractional-order multiagent systems with intermittent sampled data[J] . IEEE Transactions on Industrial Informatics,2020,16(6):3828 − 3837. doi: 10.1109/TII.2019.2930307
    [13] ZHU W, LI W, ZHOU P. Consensus of fractional-order multi-agent systems with linear models via observer-type protocol[J] . Neurocomputing,2017,230:60 − 65. doi: 10.1016/j.neucom.2016.11.052
    [14] YU W, CHEN G. On pinning synchronization of complex dynamical networks[J] . Automatica,2009,45(2):429 − 435. doi: 10.1016/j.automatica.2008.07.016
    [15] LI H L, HU C, JIANG Y L. Dynamical analysis of a fractional-order predator-prey model incorporating a prey refuge[J] . Journal of Applied Mathematics and Computing,2017,54:435 − 449. doi: 10.1007/s12190-016-1017-8
    [16] LI H L, JIANG H, CAO J. Global synchronization of fractional-order quaternion-valued neural networks with leakage and discrete delays[J] . Neurocomputing,2020,385(12):211 − 219.
    [17] VALCHER M E, MISRA P. On the stabilizability and consensus of positive homogeneous multi-agent dynamical systems[J] . IEEE Transactions on Automatic Control,2014,59(7):1936 − 1941. doi: 10.1109/TAC.2013.2294621
    [18] VALCHER M E, ZORZAN I. On the consensus of homogeneous multiagent systems with positivity constraints[J] . IEEE Transactions on Automatic Control,2017,62(10):5096 − 5110. doi: 10.1109/TAC.2017.2691305
    [19] LIU J J, LAM J, WANG Y. Robust and nonfragile consensus of positive multiagent systems via observer-based output-feedback protocols[J] . International Journal of Robust and Nonlinear Control,2020,30(14):5386 − 5403. doi: 10.1002/rnc.5090
    [20] WU H, SU H S. Observer-based consensus for positive multiagent systems with directed topology and nonlinear control input[J] . IEEE Transactions on Systems, Man, and Cybernetics: Systems,2018,49(7):1459 − 1469.
    [21] SUN Y, SU H S, WANG X. Semiglobal observer-based positive scaled edge-consensus of networked discrete-time systems under actuator saturation[J] . IEEE Transactions on Systems, Man, and Cybernetics: Systems,2021,51(7):4543 − 4554. doi: 10.1109/TSMC.2019.2944976
    [22] LIU J J, LAM J, ZHU B, et al. Nonnegative consensus tracking of networked systems with convergence rate optimization[J] . IEEE Transactions on Neural Networks and Learning Systems,2021,33(12):7534 − 7544.
    [23] LIU J J, YANG N. Positive consensus of fractional-order multiagent systems over directed graphs[J] . IEEE Transactions on Automatic Control,2022,34(12):9542 − 9548.
    [24] CHEN S Y, AN Q, YE Y, et al. Observer-based consensus for fractional-order multi-agent systems with positive constraint[J] . Neural Computing and Applications,2022,501:489 − 498.
    [25] SU H S, WU H, CHEN X, et al. Positive edge consensus of complex networks[J] . IEEE Transactions on Systems, Man, and Cybernetics: Systems,2018,48(12):2242 − 2250. doi: 10.1109/TSMC.2017.2765678
    [26] PODLUBNY I. Fractional differential equations: an introduction to fractional derivatives, fractional differential equations, to methods of their solution and some of their applications[M] . New York: Elsevier, 1998.
    [27] KACZOREK T. Fractional positive continuous-time linear systems and their reachability[J] . International Journal of Appled Mathematics and Computer Science,2008,18(2):223 − 228.
    [28] SHAFAI B, OGHBAEE A. Positive observer design for fractional order systems[C] //Proceedings of the 2014 World Automation Congress. Nanjing: IEEE Systems, Man, and Cybernetics Society, 2014: 531–536.
    [29] OLFATL-SABER R, FAX J A, MURRAY R M. Consensus and cooperation in networked multi-agent systems[J] . Proceedings of the IEEE,2007,95:215 − 233. doi: 10.1109/JPROC.2006.887293
  • 加载中
图(5)
计量
  • 文章访问数:  539
  • HTML全文浏览量:  255
  • PDF下载量:  195
  • 被引次数: 0
出版历程
  • 收稿日期:  2024-01-21
  • 刊出日期:  2025-05-19

目录

    /

    返回文章
    返回