留言板

尊敬的读者、作者、审稿人, 关于本刊的投稿、审稿、编辑和出版的任何问题, 您可以本页添加留言。我们将尽快给您答复。谢谢您的支持!

姓名
邮箱
手机号码
标题
留言内容
验证码

基于PreScan的目标穿行AEB控制策略

张炳力 左云杰 王怿昕 黄钟晗 李韧 曹丽松

张炳力, 左云杰, 王怿昕, 黄钟晗, 李韧, 曹丽松. 基于PreScan的目标穿行AEB控制策略[J]. 上海工程技术大学学报, 2025, 39(4): 389-395. doi: 10.12299/jsues.25-0136
引用本文: 张炳力, 左云杰, 王怿昕, 黄钟晗, 李韧, 曹丽松. 基于PreScan的目标穿行AEB控制策略[J]. 上海工程技术大学学报, 2025, 39(4): 389-395. doi: 10.12299/jsues.25-0136
ZHANG Bingli, ZUO Yunjie, WANG Yixin, HUANG Zhonghan, LI Ren, CAO Lisong. Control strategy for AEB in target traversing based on PreScan[J]. Journal of Shanghai University of Engineering Science, 2025, 39(4): 389-395. doi: 10.12299/jsues.25-0136
Citation: ZHANG Bingli, ZUO Yunjie, WANG Yixin, HUANG Zhonghan, LI Ren, CAO Lisong. Control strategy for AEB in target traversing based on PreScan[J]. Journal of Shanghai University of Engineering Science, 2025, 39(4): 389-395. doi: 10.12299/jsues.25-0136

基于PreScan的目标穿行AEB控制策略

doi: 10.12299/jsues.25-0136
基金项目: 长三角科技创新共同体联合攻关专项资助项目(2022CSJGG1501);安徽省科技重大专项项目(202203a05020008);合肥市重大科技专项项目(2022-SZD-008)
详细信息
    作者简介:

    张炳力(1968 − ),男,教授,博士,研究方向为智能车辆技术。E-mail:zhangbinglihfut@163.com

  • 中图分类号: U270

Control strategy for AEB in target traversing based on PreScan

  • 摘要: 针对车辆在直行过程中与穿行目标的运动关系,提出一种自动紧急制动(AEB)控制策略。将目标相对车辆的运动分解为横向和纵向分量,基于碰撞时间(TTC)算法定义危险系数以确立预警判断条件,并设计动态触发宽度和动态TTC阈值,当系统发出预警且驾驶员未介入时,采用分速分级制动策略。基于变论域模糊PI算法构建下层控制器,实现对本车期望加速度的精准跟随。同时,利用PreScan建立车辆逆纵向动力学模型,将其转化为实际操作。通过PreScan与Matlab对该策略进行仿真验证分析,结果显示,在基于C-NCAP的测试场景下,该策略能有效避免碰撞。
  • 图  1  运动轨迹模型

    Figure  1.  Motion trajectory model

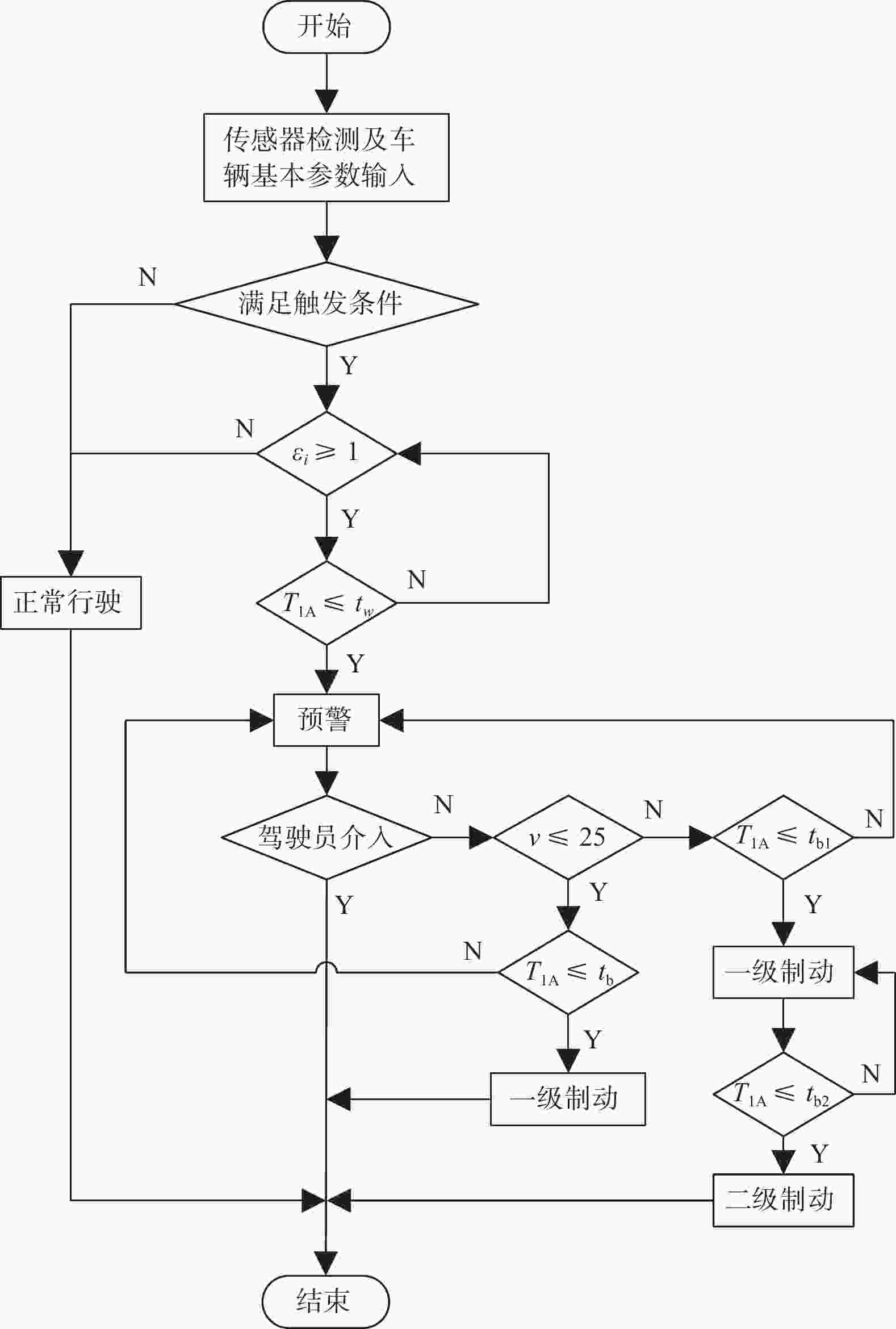
    图  2  AEB控制策略流程图

    Figure  2.  AEB control strategy flow chart

    图  3  VUFPI原理框图

    Figure  3.  Principle block VUFPI

    图  4  传统算法仿真结果

    Figure  4.  Simulation result of traditional algorithm

    图  5  本研究算法仿真结果

    Figure  5.  Simulation results of this algorithm

    表  1  不同车速下TTC阈值

    Table  1.   TTC threshold at different vehicle speeds

    v/(km·h−1 tb1/s tb2/s dbe/m
    10 1.0 0 1.56
    20 1.1 0 1.50
    30 1.4 0.56 1.46
    40 1.6 0.68 1.56
    50 1.8 0.80 1.63
    60 2.0 0.92 1.60
    70 2.2 1.08 1.37
    80 2.4 1.30 1.85
    90 2.6 1.46 1.66
    100 2.8 1.62 1.50
    110 3.0 2.07 1.43
    120 3.2 2.42 1.64
    下载: 导出CSV

    表  2  矫正值模糊规则

    Table  2.   Correction value fuzzy rule

    Δkpki E
    NB(负大) NM(负中) NS(负小) O(零) PS(正小) PM(正中) PB(正大)
    EC NB PB/NB PB/NB PB/NM PM/NM PS/NS O/O O/O
    NM PB/NB PB/NM PM/NM PS/NS O/O O/O NS/O
    NS PB/NM PB/NM PM/NS PS/O O/O NS/PS NM/PM
    O PM/NM PM/NS O/O NS/O NS/PS NM/PM NM/PM
    PS PM/NS PM/NS PS/O O/PS NS/PS NM/PM NB/PB
    PM PS/O PS/O O/PS NS/PS NM/PM NM/PM NB/PB
    PB O/O O/O PS/PS NS/PM NM/PM NB/PB NB/PB
    下载: 导出CSV

    表  3  伸缩因子模糊规则

    Table  3.   Expansion factor fuzzy rule

    α/β E
    NB NS O PS PB
    EC NB PB/PB PB/PB O/PB NB/PB NB/PB
    NS PS/O O/O NS/O NB/O NB/O
    O O/NB NS/NB NB/NB NS/NB O/NB
    PS NS/O NB/O NS/O O/O PS/O
    PB NB/PB NB/PB O/PB PS/PB PB/PB
    下载: 导出CSV

    表  4  整车和环境主要参数

    Table  4.   Main parameters of vehicle and environment

    参数 符号
    车辆长度/m l1 5.21
    车辆宽度/m w1 2.04
    车轮滚动半径/m r 0.34
    主减速器传动比 io 5.3
    整车质量/kg m 1820
    空气阻力系数 CD 0.27
    迎风面积/m2 A 2.33
    空气密度/(kg·m-3 ρ 1.28
    滚动阻力系数 f 0.01
    下载: 导出CSV

    表  5  仿真参数设置

    Table  5.   Simulation parameter setting

    参数
    TIS传感器
    参数
    视场角/(°)80
    最大探测距离/m90
    仿真频率/Hz100
    精度/%2
    光束类型Cone
    避撞策略
    参数
    两轮车长度/m1.8
    两轮车宽度/m0.9
    车辆与造成视线遮挡的路边驻车的距离/m1
    两轮车前端到车辆轨迹中心线的垂直距离/m10
    下载: 导出CSV

    表  6  完整仿真结果

    Table  6.   Complete simulation results

    车速/
    (km·h−1
    二轮车速度/
    (km·h−1
    本研究算法 传统算法
    dbe/m db/m
    20 15 1.57 4.14 碰撞
    40 1.67 10.24
    60 1.02 26.69
    下载: 导出CSV
  • [1] 何仁, 冯海鹏. 自动紧急制动(AEB)技术的研究与进展[J] . 汽车安全与节能学报, 2019, 10(1): 1 − 15. doi: 10.3969/j.issn.1674-8484.2019.01.001
    [2] 吴子祥, 黄合来, 陈吉光, 等. 视线遮挡条件下面向弱势道路使用者的避撞策略研究[J] . 交通信息与安全, 2021, 39(4): 9 − 15, 34. doi: 10.3963/j.jssn.1674-4861.2021.04.002
    [3] 李晓阳, 刘树伟. 考虑驾驶员特性的行人避撞策略及仿真验证[J] . 专用汽车, 2022(8): 74 − 78, 82.
    [4] 胡延平, 王晓静, 徐鹏, 等. 基于PreScan的交叉轨迹工况AEB控制[J] . 机械工程与自动化, 2019(5): 29 − 31.
    [5] 中国汽车技术研究中心有限公司. 中国新车评价规程(C-NCAP) 2020年度测评结果研究报告[EB/OL] . (2021-03-25)[2024-08-30] . https://www.c-ncap.org.cn/download.
    [6] 胡远志, 吕章洁, 刘西. 基于PreScan的AEB系统纵向避撞算法及仿真验证[J] . 汽车安全与节能学报, 2017, 8(2): 136 − 142. doi: 10.3969/j.issn.1674-8484.2017.02.004
    [7] 韩勇, 袁小宾, 卢明, 等. 汽车与电动两轮车碰撞典型场景下的AEB纵横向触发策略研究[J] . 汽车工程, 2023, 45(3): 501 − 509.
    [8] 何霞, 张道文, 车瑶栎, 等. 基于行人横穿场景的AEB触发宽度优化研究[J] . 中国安全科学学报, 2020, 30(4): 141 − 146.
    [9] 徐向阳, 胡文浩, 张友, 等. 车辆与二轮车预碰撞场景分析及其AEB优化[J] . 北京航空航天大学学报, 2023, 49(1): 1 − 9.
    [10] 尤本隆. 基于Prescan自动紧急制动系统分级控制策略研究[J] . 农业装备与车辆工程, 2022, 60(1): 54 − 59.
    [11] 王陆林, 刘贵如. 汽车制动距离估算模型和安全车距控制算法[J] . 农业装备与车辆工程, 2019, 57(12): 23 − 28.
    [12] 杜峰, 程剑锋, 齐蕾, 等. 基于驾驶行为特性的AEB系统控制策略研究[J] . 河南科技大学学报(自然科学版), 2023, 44(6): 16 − 25.
    [13] 杨贺博, 张小俊, 罗耿耿, 等. 基于动态碰撞时间的自动紧急制动策略设计[J] . 汽车技术, 2024(2): 17 − 24.
    [14] ZHANG Y Z, ANTONSSON E K, GROTE K. A new threat assessment measure for collision avoidance systems[C] //Proceedings of 2006 IEEE Intelligent Transportation Systems Conference. Toronto: IEEE, 2006: 968 − 975.
    [15] 王晶晶, 郭文博, 张友松, 等. 基于车联网的行人主动避撞策略及仿真验证[J] . 汽车技术, 2022(5): 41 − 49.
  • 加载中
图(5) / 表(6)
计量
  • 文章访问数:  335
  • HTML全文浏览量:  193
  • PDF下载量:  103
  • 被引次数: 0
出版历程
  • 收稿日期:  2025-05-27
  • 网络出版日期:  2026-02-02
  • 刊出日期:  2025-12-01

目录

    /

    返回文章
    返回